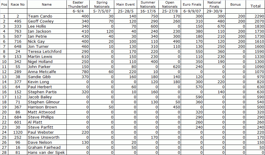
2007 U.K. NATIONAL CHAMPIONSHIP
SPORTSMAN ET FINAL STANDINGS

ã 2007 by Simon Groves @ APIRA and Yvonne Tramm @ SPRC